您現在的位置是:主頁 > 資訊 >
渦街流量計的工作原理及應用
編輯:熱電偶廠家日期:2019-12-29 00:00所屬欄目:資訊 人已圍觀站內編號:463
簡介:在特定的流動條件下,一部分流體動能被轉換成流體振動,以其振動頻率和流速(流量)有比例關系的原理工作的流量計被稱為流體振動流量計。 現在,流體振動流量計有渦流路流量計、...(熱電偶型號報價廠家為您整理)
在特定的流動條件下,一部分流體動能被轉換成流體振動,以其振動頻率和流速(流量)有比例關系的原理工作的流量計被稱為流體振動流量計。 現在,流體振動流量計有渦流路流量計、回轉(渦流動)流量計和噴射流量計3種。 渦街流量計具有以下特點
①輸出為脈沖頻率,其頻率與被測量流體的實際體積流量成正比,不受流體成分、密度、壓力、溫度的影響
②測量范圍廣,一般范圍度可達10:1以上;
③度為中等程度
在特定的流動條件下,一部分流體動能被轉換成流體振動,以其振動頻率和流速(流量)有比例關系的原理工作的流量計被稱為流體振動流量計。 現在,流體振動流量計有渦流路流量計、回轉(渦流動)流量計和噴射流量計3種。 渦街流量計具有以下特點
①輸出為脈沖頻率,其頻率與被測量流體的實際體積流量成正比,不受流體成分、密度、壓力、溫度的影響
②測量范圍廣,一般范圍度可達10:1以上;
③度為中等程度
④無可動部件,可靠性高
⑤結構簡單牢固,安裝方便,維護費用低;
⑥應用范圍廣,適用液體、氣體、蒸汽。
渦流道流量計的工作原理
在流體中設置渦流發生器(阻力流體),從渦流發生器的兩側交替產生規則的渦流,將該渦流稱為卡爾曼渦街(參照圖1 ),渦流排列在渦流發生器的下游不對稱。 根據卡爾曼渦原理,有以下關系式

(1)

(2)
式中,m是渦流發生器兩側的弓形面積與管截面面積之比,d是身體的通徑,d是渦流發生器的正面寬度,f是渦流的發生頻度,U1是渦流發生器兩側的平均流速,Sr是斯特羅哈爾的數量,u是被測定介質的流動的平均速度。

圖1卡爾曼渦街
配管內體積流量qv為

(3)

(4)
式中,k是流量計的儀表系數,單位是脈沖數/m3。
k除與渦流發生器、管道的幾何尺寸有關外,還與斯特羅哈爾數有關。 斯特羅哈爾數是無量綱參數,與渦流發生器的形狀和雷諾數有關,圖2是圓柱狀渦流發生器的斯特羅哈爾數和管道噴嘴數的關系圖。 由圖2可知,ReD=2×時為104~7×; 在106的范圍內,可將Sr視為常數,其為計量器的正常操作范圍。 測量氣體流量時,渦街流量計的流量計公式

(5)式中,qVn、qV分別為標準狀態( 0℃或20℃、101.325kPa )和情況下的體積流量Pn、p分別為標準狀態和情況下的壓力Tn、t分別為標準狀態和情況下的熱力學溫度Zn、z分別為標準狀態和情況下的氣體壓縮系數。

圖2斯特羅哈爾數與雷諾數的關系曲線
由式(4)可知,從渦流流量計輸出的脈沖頻率信號不受流體物性和成分變化的影響,即儀表系數在一定的雷諾數范圍內只與渦流發生器和管道的形狀尺寸等有關。 但是必須用材料平衡和能量計量來測量質量流量。 此時,流量計必須同時監測體積流量和流體密度。 流體物性和成分對流量計量有直接影響。
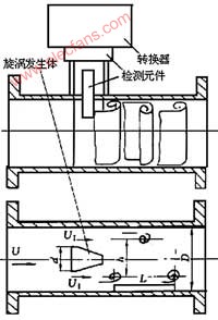
如圖3所示,渦流流量計由傳感器和轉換器兩部分構成。 傳感器包括渦流發生器(電阻流體)、檢測元件、儀表等的轉換器包括前置放大器、濾波器整形電路、DAC、輸出接口電路、端子、支架、屏蔽等。 近年來,智能式流量計還將微處理器、顯示器通信、其他功能模塊內置于轉換器中。

圖3渦流路流量計
現場應用
1在現場的應用
應用于渦街流量計的流體相對較寬但具有較低雷諾數( ReD≤ 2×; 104 )流體。 這是因為,在雷諾數較低的情況下,光柵數與雷諾數相應地變化,儀表的線性變差。 同時,含有固體微粒子的流體沖洗渦流發生體時會產生噪音,其中所含的短纖維纏繞在渦流發生體上時儀表系數會發生變化。
渦流道流量計在混相流體中的應用如下
①可用于含有分散、均勻的微小氣泡,但容積氣體含有率為7 % ~不足10 %的氣體、液兩相流,容積氣體含有率超過2%時,請修正儀表系數。
②含有分散均勻的固體微粒,可用于含量在2%以下的氣固、液固二相流。
③可用于互不溶解的液體(如油和水)的兩組分流等。
脈動流和旋流對渦流流流量計有嚴重影響。 脈動頻率與渦街的頻帶一致時會引起共振,破壞正常的工作和設備,使渦街的信號“ 鎖定( Lock-in)” 現象是,此時信號被固定為某個頻率。 “ 洛克” 與脈動振幅、渦流發生體的形狀、堵塞比等有關。
渦街流量計的度對液體基本±; 0.5%R~±; 2%R期間,對氣體±; l%R~±; 在2%R間,再現性通常為0.2%~0.5% . 渦流流量計的儀表系數低,頻率分辨率低,口徑越大精度越低,因此儀表口徑不要過大( DN300以下)。
范圍寬度是渦流流量計的特征,但重要的一點是范圍下限的流量值。 一般液體平均流速的下限為0.5m/s,氣體為4~5m/s . 渦流路流量計正常流量zui優選為正常測量范圍的1/2~2/3處.
渦街流量計zui的一個顯著優點是儀表系數可以從一個典型的介質推廣到另一個介質而不受測量介質的物理性能影響。 但是,由于液體、氣體的流速范圍大不相同,頻率范圍也大不相同。 在處理螺旋信號的放大器電路中,濾波器的通帶不同,電路參數也不同,因此不能將相同的電路參數用于不同介質的測量。
另外,由于氣體與液體密度的差異較大,渦流分離時產生的信號強度與密度成正比,因此信號強度的差異也較大。 液晶、氣體放大器電路的增益、觸發靈敏度等不同,壓電電荷差異較大,電荷放大器的參數也不同。 即使是相同的氣體(或液體、蒸汽),根據介質的壓力、溫度、密度不同,使用的流量范圍也不同,信號強度也不同,回路參數也不同。 因此,渦流流量計沒有被硬件和軟件修正,不能改變使用介質,也不能改變儀表的口徑。
2設置注意事項
渦流路流量計是對配管流速分布的變形、回旋流、流動脈動等敏感的流量計,因此,請充分重視現場的配管設置條件,嚴格遵循使用說明書。
渦街流量計可安裝在室內或室外。 在地下井中安裝時,為了防止被水淹,應選擇唾液型傳感器。 傳感器可以水平、垂直或傾斜地安裝在配管上,但為了在測量液體和氣體時防止氣泡和液滴干涉,請注意安裝位置(參照圖4 )。

圖4安裝測量含有液體和氣體的液體的流量計
渦流流流量計必須確保上下直管段所需的長度(參照圖5 )。
0
圖5渦流道流量計上下游直管段長度的要求
在圖5中,a是90°; 彎管,b為同心擴管,c為同心收縮全開閥,d為不同平面兩個90°; 彎管,e為調節閥半開閥,f為同一平面上的兩個90°; 彎管接頭。
傳感器與配管的連接如圖6所示,與配管連接時請注意以下幾點。

圖6傳感器與配管的連接
①上下游配管內徑d和傳感器內徑D’ 同樣,其差異滿足以下條件:0.95D≤ D’ ≤ 1.1D;
②配管與傳感器同心,同軸度必須小于0.05D&rsquo
③密封墊片無法向配管內突出,其內徑比傳感器內徑大1~2mm
④需要切斷檢查和清洗傳感器時,請設置旁通配管(參照圖7 )

圖7旁通配管圖
⑤減小振動對渦流流量計的影響,作為渦流流量計現場設置的一大問題值得關注。 首先,在選定傳感器的設置場所時,要注意避開振動源,然后用彈性軟管進行連接是小口徑的第三,后續安裝配管支撐物是有效的減振方法。
電氣安裝時,請用屏蔽電纜或低噪聲電纜連接傳感器與轉換器之間,注意其距離不要超過使用說明書的規定。 請遠離強大的電源線進行接線,盡量用單獨的金屬套管進行保護。 “ 稍微接地” 原則上,接地電阻應小于10&Omega。 一體型和分離型在傳感器側接地,轉換器外殼的接地點為傳感器“ 同地” 的雙曲馀弦值。
3現場常見故障現象、原因及排除方法
渦流流量計有各種檢測方式,傳感器和測量電路的差異也很大,但渦流流量計常見的故障有共通性(參照表1 )。

表1渦流道流量計的故障及其處理方法
結語
在許多流量計中,渦流流量計的購買費用低于質量式、電磁式、容積式等類型,安裝、運行、維護費用低于節流式、容積式、渦輪式等類型,是一種經濟實用的流量計。 渦街流量計結構簡單堅固,安裝維護方便,尤其適用于冶煉廠、化工廠、管線等工業廠房。
下一篇:如何正確使用磁反轉板液位計
相關文章
咨詢熱線:15222906608
咨詢QQ :690147242
郵箱:690147242@qq.com
報價 技術 選型 方案設計 安裝指導
點擊排行
低溫脆化試驗機熱電偶與溫度傳感器介紹
